Плёнка используется для фиксации рентгеновского изображения. На российском рынке представлено 5 производителей. У каждого от 4 до 7 типов плёнки. При этом они отличаются чувствительностью и контрастностью. Неправильный выбор приведёт к снижению качества изображения и пересвечиванию, и, как следствие, к увеличению расходов.
В качестве детектора в классической радиографии применяется рентгеновская плёнка. Для экспозиции и последующей обработки с плёнкой используются усиливающие экраны, химические реактивы, проявочные машины, системы оцифровки, негатоскопы, денсинометры и резаки. Проявка плёнки ведётся в тёмном помещении, с температурой не менее 20 °С. На проявку и сушку уходит 30-40 минут.
Классическая радиография регламентирована всеми отраслями промышленности, поэтому у неё развитая нормативно-техническая документация. Разработаны и выверены ГОСТы, а также отраслевые методики контроля по разным типам объектов. Мы рассмотрим общие рекомендации по подбору плёнки.

Данила Ксенофонтов,
технический специалист
Плёнка — это многослойный лист на основе прозрачной пластиковой подложки, на которую нанесена светочувствительная фотоэмульсия. В результате экспонирования в эмульсии формируется скрытое изображение, которое при химической обработке преобразуется в видимое.
Светочувствительный слой состоит из зёрен галогенида серебра. Когда одно зерно получает определенную дозу излучения, у него меняются химические свойства. Во время проявки засвеченные зерна остаются на плёнке, а незасвеченные смываются.
Чем больше дозы получает участок плёнки, тем он темнее. Чтобы это увидеть надо использовать негатоскоп. Более толстые части объекта контроля будут поглощать больше излучения, соответственно, будет засвечено меньше зёрен, и участок плёнки будет более светлым. А там, где излучение прямо попадало на плёнку, изображение будут чёрным, потому что там остался весь галоген серебра.

Схема контроля трубы

Труба поглотила часть излучения и не дала засветить все зёрна галогенида серебра

Схема засвета галогенида серебра
Некоторые компании запрашивают сертификаты о содержании нитрата серебра в плёнке. Это делается для учёта количества оборота драгоценного металла на предприятии. После проявки часть серебра остаётся в фиксаже, а часть на плёнке. При помощи формул вычисляют количество вымытого и оставшегося серебра. Полученная информация передаётся в Госфонд.
В нормативных документах прописаны требования к минимальному потемнению снимка. ГОСТ 7512-82 предписывает, что оптическая область шва и околошовной зоны должна быть не менее 1,5 Б. Для этого используется термин «оптическая плотность».
Оптическая плотность почернения — мера непрозрачности, которая характеризует ослабление светового потока. Оптическая плотность снимка равна десятичному логарифму отношения светового потока. Оптическая плотность измеряется в Беллах, сокращённое обозначение — «Б». Для измерения оптической плотности используется денситометр. Прибор сравнивает яркость негатоскопа и яркость точки на плёнке.
При выборе плёнки надо учитывать два параметра: контрастность и чувствительность. Первая влияет на качество снимка, а вторая — на скорость его получения. Выбрав одну плёнку, можно сократить время экспозиции, но потерять в качестве снимка. Снижение качества изображения может быть таким, что чувствительность контроля превысит требуемые значения по ГОСТ 7512-82. Придётся пересвечивать объект с другим типом плёнки.
Среди всех контрастных плёнок выбирается самая чувствительная. К примеру, в атомной промышленности при разработке тех.карт определенных объектов материаловедческий институт решает, что плёнки до типа AGFA D5 недостаточно контрастные. Остаются D2, D3 и D4. Все они позволяют получить изображение требуемого качества. Среди них выбирается D4, потому что с ней можно будет быстрее получить изображение.
Чем выше скорость получения изображения, тем ниже качество снимка
На рынке есть 4 популярных производителей плёнок: AGFA, KODAK, FUJIFILM, «ТАСМА». У каждого есть несколько типов плёнок. И почти к каждому типу можно подобрать аналог.
Чтобы вы не искали порядок градаций плёнок по типам и аналогам плёнки, мы проиллюстрировали всё на одном графике. Сначала идёт самая контрастная и наименее чувствительная плёнка, затем следует менее контрастная и более чувствительная, и так до самой чувствительной и наименее контрастной.
*Не имеет сертификатов, подтверждающих принадлежность к классам по международным стандартам. Аналог по техническим параметрам
Все производимые плёнки должны классифицироваться в соответствии с международным стандартом ISO 11699-1. В этом стандарте указаны 6 классов: С1-С6.
Для каждого класса предъявляются требования по градиенту, гранулярности и отношению сигнал/шум. С6 — самое низкое качество, С1 — самое высокое качество.
Большинство производителей обладают сертификатами о соответствии плёнок требованиям ISO с указанием класса для каждого типа плёнок.
На объектах атомной промышленности, оборонных предприятиях и ответственных трубопроводах предписывается использовать высококонтрастную плёнку. К примеру, СТО «Газпром» 2-2.4-083-2006 гласит: «При радиографическом контроле сварных соединений газопроводов применяют высококонтрастные технические пленки отечественного и импортного производства...».
Вместе с плёнкой предписывается использовать и усиливающие экраны. Вот что написано в РД-25.160.10-КТН-016-15 «Транснефти»: «Применение форматных пленок... допускается при условии использования металло-флуоресцентных или металлических экранов»... «Следует применять мелкозернистые высококонтрастные радиографические пленки в комбинации с металло-флуоресцентными или металлическими экранами».
Отталкивайтесь от нормативно-технической документации на объект контроля. Если нормативная база позволяет, то обычно берут самую высокочувствительную плёнку из тех, что дозволены.
Использовать импульсные аппараты и высококонтрастную плёнку нерационально. Из-за малой дозы импульсные аппараты располагают на малом фокусном расстоянии от объекта контроля. Из - за этого геометрическая нерезкость получается большой и весь эффект от использования контрастной плёнки будет нивелирован.
К примеру, бессмысленно использовать импульсный аппарат «Памир-300» и мелкозернистую плёнку Agfa D4. При фокусном расстоянии 300 мм, толщине 16 мм и размере фокусного пятна 3 мм геометрическая нерезкость составит 0,16 мм. Это будет удовлетворять только второму классу чувствительности. Если требуется первый, то придётся пересвечивать.
Сочетание импульсных аппаратов и высококонтрастной плёнки нецелесообразно. Во-первых, расходуется ресурс аппарата за счёт длительной экспозиции. Во - вторых, используется более дорогая плёнка. При этом улучшения качества изображения не будет.
Плёнку можно нарезать
под нужный формат
Импульсные аппараты чаще всего используют с плёнками типа Agfa F8 и D7. У импульсных аппаратов маленькая доза, поэтому надо брать высокочувствительную плёнку. Тогда время экспозиции не будет большим и аппарат не будет перегреваться.
Полупериодные аппараты и аппараты постоянного потенциала можно использовать с любыми плёнками, без ограничений.
Плёнки выпускаются в различных форматах. Можно выделить 3 основные группы:
Agfa D4 10×24 см
Упаковка предохраняет плёнку от засветов и внешних механических повреждений. Но при транспортировке плёнка может повредиться внутри упаковки. Иногда достаточно доехать до объекта контроля, чтобы ухабы и амортизаторы машины сделали своё дело. Поэтому важно учесть особенности упаковки при хранении, использовании и транспортировке плёнки.

Плёнка Agfa
Плёнка Agfa D5 в вакуумной упаковке
Количество плёнки на один стык рассчитывается исходя из схемы просвечивания. Рассмотрим две группы схем контроля:
Расчеты приведены для плёнки с перекрытием 20 мм. Это минимальное перекрытие по ГОСТ
7512-82. На всякий случай можно взять побольше.
1. Кольцевые соединения

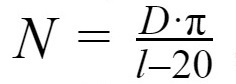
где D — внешний диаметр сварного
соединения в мм,
l — длина листа плёнки в мм,
N — количество листов.
Объект: труба 1420×10 мм.
Плёнка 10×40 см.
![]()
Полученное значение округляем
в большую сторону. Получаем
12 плёнок на стык.
2. Линейные соединения

где L — длина контролируемого участка в мм,
l — длина листа пленки в мм,
N — количество листов.
Объект: лист шириной 1 м.
Тип соединения: стыковое.
Плёнка: 8×30 см.
![]()
Полученное значение округляем
в большую сторону. Получаем
4 плёнки на стык.
2. Кольцевые соединения с рулонной плёнкой
![]()
где D — внешний диаметр сварного соединения в мм,
l — длина листа плёнки в мм.
Объект: труба 1420×10 мм.
Плёнка: рулонная.
![]()
Длина отрезка чуть меньше 4,5 метров. Рулона длиной 90 м хватит на 20 отрезков.
У пяти производителей есть по 4-7 типов плёнок. Мы приведём диапазон цен форматной плёнки 30×40 см по классификации ISO 11699-1.
C3. От 23 000 до 37 000 рублей.
C4-C5. От 23 000 до 30 000 рублей.
C6. От 31 000 до 40 000 рублей.